鹽酸的工業用途之分析化學和酸洗鋼材【鹽酸用碳化硅換熱器】
發布時間:2020-10-27 21:03:00
一、鹽酸是一種無機強酸,在工業加工中有著廣泛的應用,例如金屬的精煉。鹽酸往往能夠決定產品的質量。
1、鹽酸用途之分析化學:
在分析化學中,用酸來測定堿的濃度時,一般都用鹽酸來滴定。用強酸滴定可使終點更明顯,從而得到的結果更精確。在1標準大氣壓下,20.2%的鹽酸可組成恒沸溶液,常用作一定氣壓下定量分析中的基準物。其恒沸時的濃度會隨著氣壓的改變而改變。
鹽酸常用于溶解固體樣品以便進一步分析,包括溶解部分金屬與碳酸鈣或氧化銅等生成易溶的物質來方便分析。
2、鹽酸用途之酸洗鋼材:
鹽酸一個最重要的用途是酸洗鋼材。在后續處理鐵或鋼材(擠壓、軋制、鍍鋅等)之前,可用鹽酸反應掉表面的銹或鐵氧化物。通常使用濃度為18%的鹽酸溶液作為酸洗劑來清洗碳鋼:

剩余的廢酸常再用作氯化亞鐵溶液,但其中重金屬含量較高,故這種做法已經逐漸變少。
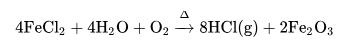
酸洗鋼材工業發展了鹽酸再生工藝,如噴霧焙燒爐或流化床鹽酸再生工藝等。這些工藝能讓氯化氫氣體從酸洗液中再生。其中最常見的是高溫水解工藝,其反應方程式如下:

將制得的氯化氫氣體溶于水即又得到鹽酸。通過對廢酸的回收,人們建立了一個封閉的酸循環。副產品氧化鐵在各種工業加工流程中也有較多應用。
二、鹽酸碳化硅換熱器是工業制備鹽酸的重要設備之一,無錫錢橋化工機械有限公司研發的鹽酸碳化硅冷凝器、熱交換器,采用耐腐蝕碳化硅制成的換熱管是加熱,冷卻和冷凝化學腐蝕性工藝介質的理想選擇。

當前位置: