鹽酸的配位性【鹽酸用碳化硅換熱器】
發布時間:2020-10-21 23:39:00
一、鹽酸(hydrochloric acid )是氯化氫(HCl)的水溶液,屬于一元無機強酸,工業用途廣泛。鹽酸的性狀為無色透明的液體,有強烈的刺鼻氣味,具有較高的腐蝕性。濃鹽酸(質量分數約為37%)具有極強的揮發性,因此盛有濃鹽酸的容器打開后氯化氫氣體會揮發,與空氣中的水蒸氣結合產生鹽酸小液滴,使瓶口上方出現酸霧。鹽酸是胃酸的主要成分,它能夠促進食物消化、抵御微生物感染。
鹽酸的配位性
部分金屬化合物溶于鹽酸后,金屬離子會與氯離子絡合。例如難溶于冷水的二氯化鉛可溶于鹽酸:

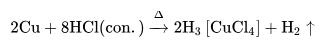
銅在無空氣時難溶于稀鹽酸,但其能溶于熱濃鹽酸中,放出氫氣:
二、鹽酸碳化硅換熱器是工業制備鹽酸的重要設備之一,無錫錢橋化工機械有限公司研發的鹽酸碳化硅冷凝器、熱交換器,采用耐腐蝕碳化硅制成的換熱管是加熱,冷卻和冷凝化學腐蝕性工藝介質的理想選擇。


當前位置: